Ride Quality Evaluation
Passenger whole body vibration measurement was conducted on therolling stock, to obtain the baseline data of vibration and noise level to evaluate the ride quality of the train.
Vibration measurement with time series were flitered through ISO 12299 and vibration comfort index for each position was reported.
Interior noise was measured with certified sound level meter and filtered to human perception filters and equivalent sound level for each measurement point was reported in dB.
Trains were run at operating speed without passengers or simulated load.
Sensors
Triaxial transducer in a rubber pads for measuring whole-body vibration according to ISO 2631, ISO 8041, ISO 10326-1, ISO 7096 as well as able to filter using ISO 12299.
The sensor can be removed from the cushion for calibration.

Interior noise is measured with Class 1 microphone and processed with third octave analysis.
Measurement System

imc Cronos Flex with 8 channel ICP measurement system was used to evaluate both triaxial vibration and Noise signal. Battery operation is required to enable the ease of relocation of the setup to variety of places on the train.
Measurement Positions
For various locations, measurements were performed at sitting and standing positions wherever applicable.

Calculation Methods
For vibration, x and y acceleration were filtered with ISO-12299 parameters and RMS values with 5 second intervals were obtained. These RMS values are know as Wd.
Z acceleration was filtered with ISO-12299 parameters and Wb was obtained as RMS.
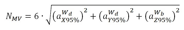
For the entire trip, 95th percentile of Wd values and Wb values were extracted and ride quality index was calculated according the following equation:

NMV = Mean comfort scale
= Acceleration in X direction, filtered to ISO-12299 and taken 95th percentile of the RMS
= Acceleration in Y direction, filtered to ISO-12299 and taken 95th percentile of the RMS
= Acceleration in Z direction, filtered to ISO-12299 and taken 95th percentile of the RMS
Evaluation Scale for NMV is as follows:
| NMV < 1.5 | Very Comfortable |
| 1.5 < NMV < 2.5 | Comfortable |
| 2.5 < NMV < 3.5 | Medium |
| 3.5 < NMV < 4.5 | Uncomfortable |
| NMV > 4.5 | Very Uncomfortable |
For noise, measured sound pressure is filtered to third octave spectrum and overall noise level is calculated as Leq. Leq should be always below 75 dBA for qualification.

Overall, the measurement was done with excellent signals, and calculations were accurate and achieved great baseline data for subsequent evaluations for new train sets.
